输入两个链表,找出它们的第一个公共结点。
不要使用额外空间
这道题借助额外存储空间也好解
我们这里的公共节点是指引用,而不是值
public class Solution {
public ListNode FindFirstCommonNode(ListNode pHead1, ListNode pHead2) {
if(pHead1 == null || pHead2 == null)return null;
ListNode p1 = pHead1;
ListNode p2 = pHead2;
while(p1!=p2){
p1 = p1.next;
p2 = p2.next;
if(p1 != p2){
//p1后面续上p2,p2后面续上p1
if(p1 == null)p1 = pHead2;
if(p2 == null)p2 = pHead1;
}
}
return p1;
}
}
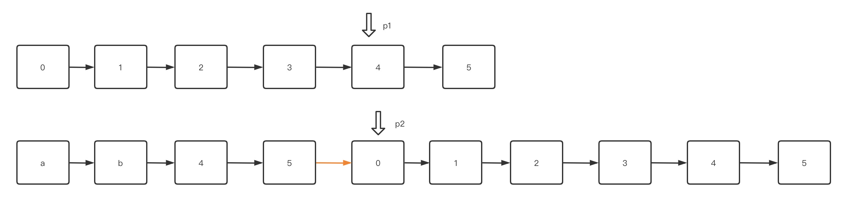
0-1-2-3-4-5-null
a-b-4-5-null
遍历后就成这样
0-1-2-3-4-5-a-b-4-5
a-b-4-5-0-1-2-3-4-5
这样得到2个长度一样的链表,并找到公共节点 4-5
如果找不到公共节点则返回null


if(p1 != p2) 加上这个是为了避免死循环
如果p1、p2都为null,直接return null
这个方法比较巧,不好想。。。